Lewis
Introduction¶
- 3rd world countries
- We find surplus labor
- They transform modern industrial sector
- Migration of labor to Modern sector, called structural transformation
- Two sectors
- Traditional, rural, subsistence
- Modern industrial sector
- In traditional sector
- \(MP_{L}= 0\)
- \(\implies\) Surplus labor transferred to modern sector
- Traditional sector, low vs modern, high productivity
- Competitive wage rate in traditional employment, determined by \(AP_{L}\) not \(MP_{L}\), which means more the labor, lower the wage rate.
- Modern sector expands depends on
- capital being accumulated
- rate of industrialization
- profits are reinvested back into the sector
- migration of labor
- Why transfer? High wage. \(w_{M}\gt w_{A}\)
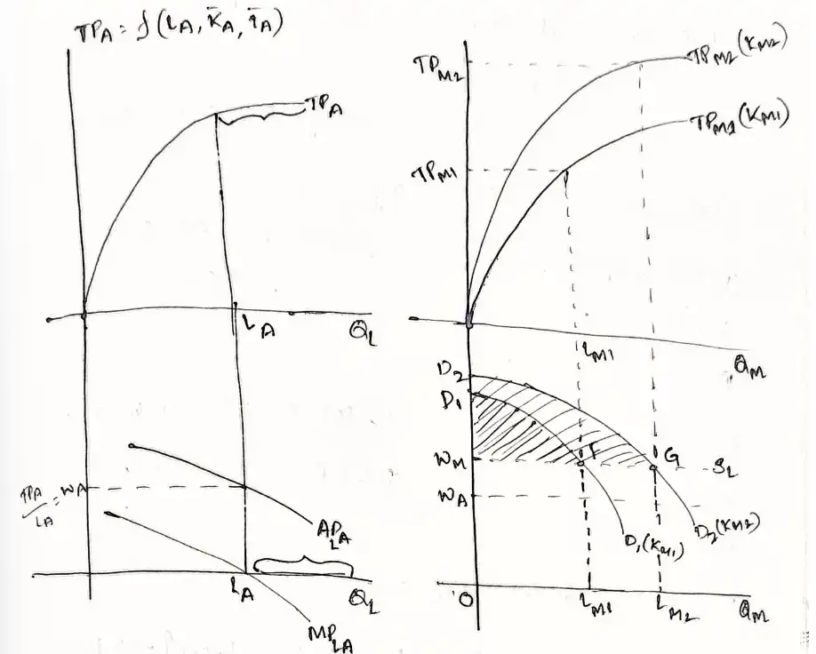
Diagram¶
- After \(L_{A}\), surplus labor, transferred to modern sector
- Panel (1), curve is flat \(\implies\) surplus labor, not contributing to total product
- \(w_{A}\) is subsistence wage.
- \(w_{M}s_{L}\) is perfectly elastic supply #doubt of labor (surplus from agriculture labor is willing to work in modern sector)
- Demand curve for labor in modern sector, drawn at capital (\(K_{M_{1}}\))
- Demand = downward sloping \(MP_{L}\) curve, where \(MP_{L} = \text{wage}\) is where the current demand for labor is.
- Total output - total cost = \(OD_{1}FL_{M_{1}} - OW_{M}FL_{M_{1}}\) = Profit = \(W_{M}D_{1}F\)
- Profit reinvested \(\implies\) Capital increase \(\implies\) Total product curve shift upwards.
- \(K_{M_{2}}\uparrow\) \(\implies\) \(MP_{L}\uparrow\) \(\implies\) Demand for labor \(\uparrow\) \(\implies\) Production \(\uparrow\)
- Total output - total cost = \(OD_{2}GL_{M_{2}}\) - \(OW_{M}GL_{M_{2}}\) = Profit = \(W_{M}D_{2}G\)
- Again profit is reinvested, this Self Sustaining growth will continue till the surplus labor is fully utilized.
Extension: Fei Rami's Model
